Loops (or iterations) are steps that are repeated a number of times in an algorithm. They make algorithms simpler because they don’t need to include groups of unnecessary steps.
For example, the steps involved in eating breakfast could be:
Eat spoonful of cereal and milk
........continue these steps until bowl is finished (could be a large number of steps)
End
This algorithm could be rewritten using a loop:
When writing algorithms in pseudocode we can use a WHILE loop. A while loop states a condition at the start of the loop which determines how many times a loop is repeated in an algorithm.
Look at this algorithm written in pseudocode, and the explanation of each line of code
START |
start |
SET a = 2 |
give the variable a, the value 2 |
SET sum = 0 |
give the variable sum, the value 0 |
WHILE a < 5 |
while a has a value less than 5 repeat the next 2 steps |
sum = sum + a |
add a to the value of sum |
a = a + 1 |
add 1 to the value of a |
END WHILE |
stop the loop when a is no longer less than 5 |
PRINT sum |
print the final value of sum |
END |
end |
This loop contains 2 steps sum = sum + a
a = a + 1
these will be repeated until a is no longer less than 5. The values of the variables a and sum for each loop are:
sum |
a |
|
| initially | $0$0 | $2$2 |
| after first loop | $0+2=2$0+2=2 | $2+1=3$2+1=3 |
| after second loop | $2+3=5$2+3=5 | $3+1=4$3+1=4 |
| after third loop | $5+4=9$5+4=9 | $4+1=5$4+1=5 |
At the end of the third loop the value of a is 5 and so the condition for the loop to end has been reached. The final value of sum is 9. This is the value that will be printed (OUTPUT) from the algorithm.
Look at the pseudocode below:
START
SET a = 2
SET sum = 0
WHILE a < 9
sum = sum + a
a = a + 1
END WHILE
PRINT sum
END
The initial value of a is $\editable{}$.
What is the OUTPUT of this code?
OUTPUT: $\editable{}$
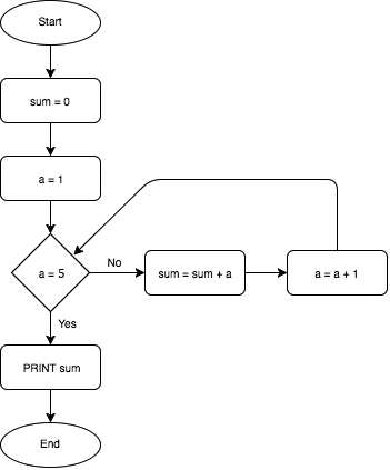
Consider the algorithm represented by the flow chart:

Rearrange the letters $A$A, $B$B, $C$C, $D$D, $E$E, $F$F and $G$G so the corresponding pseudocode correctly represents the flow chart's algorithm.
$C$C: a = a + 1 |
$E$E: SET a = 1 |
$A$A: WHILE a ≠ 5 |
$F$F: PRINT sum |
$B$B: sum = sum + a |
$G$G: END WHILE |
$D$D: SET sum = 0 |
START |
|
| Line 1 | $\editable{}$ |
| Line 2 | $\editable{}$ |
| Line 3 | $\editable{}$ |
| Line 4 | $\editable{}$ |
| Line 5 | $\editable{}$ |
| Line 6 | $\editable{}$ |
| Line 7 | $\editable{}$ |
END |
Look at the pseudocode below:
Note that the symbol < represents the statement 'less than'.
START SET a = 2 WHILE a < 10 PRINT aa = a + 2END WHILE END
What is the OUTPUT of this code? Write each value on the same line, separated by a comma.
OUTPUT: $\editable{}$